凯发K8

知识科普 | APUNK™——非基因修饰同种异体NK细胞产品

日期:01-22  点击:  属于:知识科普

自然杀伤细胞(Natural Killer Cell,NK)是一种具有杀伤活性的淋巴细胞,天然免疫的核心细胞,研究显示,NK细胞在对抗肿瘤、抗病毒感染、亚健康调节等方面发挥重要作用。

 

NK细胞的来源

NK细胞可以从多种途径获取,如外周血、脐带血、NK92细胞系等,不同途径来源的NK细胞发挥的生物学作用各有差异。

 

(图1 NK细胞来源)

(表1 不同来源的NK细胞对比)

虽然 NK 细胞有多种的来源,但从成本和安全性考虑,现在以从外周血和脐血来源的 NK 能够更适合临床应用的预期。

 

NK细胞疗法的应用场景

基于NK细胞的免疫疗法已成为新兴主力军,现在NK细胞疗法部分应用场景有:

1. 增强免疫力、抗衰老:NK细胞是主要的先天性淋巴细胞亚群,可介导各种反应,包括监视和消除衰老细胞。

早在2021年,美国明尼苏达大学医学院的学者在《Nature》上发表了相关文章,证实了衰老和免疫细胞衰老之间的联系。多项研究证实,NK细胞是衰老细胞免疫监视的主要参与者,随着年龄的增长而增加,但与此同时,研究还证实NK细胞的细胞毒性和功能会随着年龄增长而下降,释放的细胞因子减少,影响了它们与其他免疫细胞及其靶细胞相互作用的能力[1]

(图2 发布在《Nature》的文章:衰老的免疫系统会加速实体器官的衰老)

研究者采用特异性敲除ERCC-1的方法来让小鼠的免疫“未老先衰”,敲除基因后,小鼠出现了类似正常衰老小鼠的免疫特征,证明小鼠模型中免疫细胞确实出现了衰老的症状。研究者将ERCC-1敲除小鼠的免疫细胞回输给衰老小鼠,发现衰老小鼠的衰老速度变快,并且寿命也更短。

反之,将年轻健康小鼠的免疫细胞回输给衰老小鼠,一个月后检测,发现相关的衰老标志物水平显著减少,小鼠体内多处的组织和器官的衰老发生逆转。这证实了年轻的免疫细胞可一定程度逆转衰老小鼠的衰老。

(图3 敲除基因的小鼠多组织出现衰老标志物)

(图4 回输年轻小鼠免疫细胞后衰老小鼠细胞衰老特征显著降低)

 

2.造血干细胞移植后巩固疗法:临床抗肿瘤方案通常选择NK细胞免疫疗法作为缓解后的巩固策略或与其他治疗相结合。

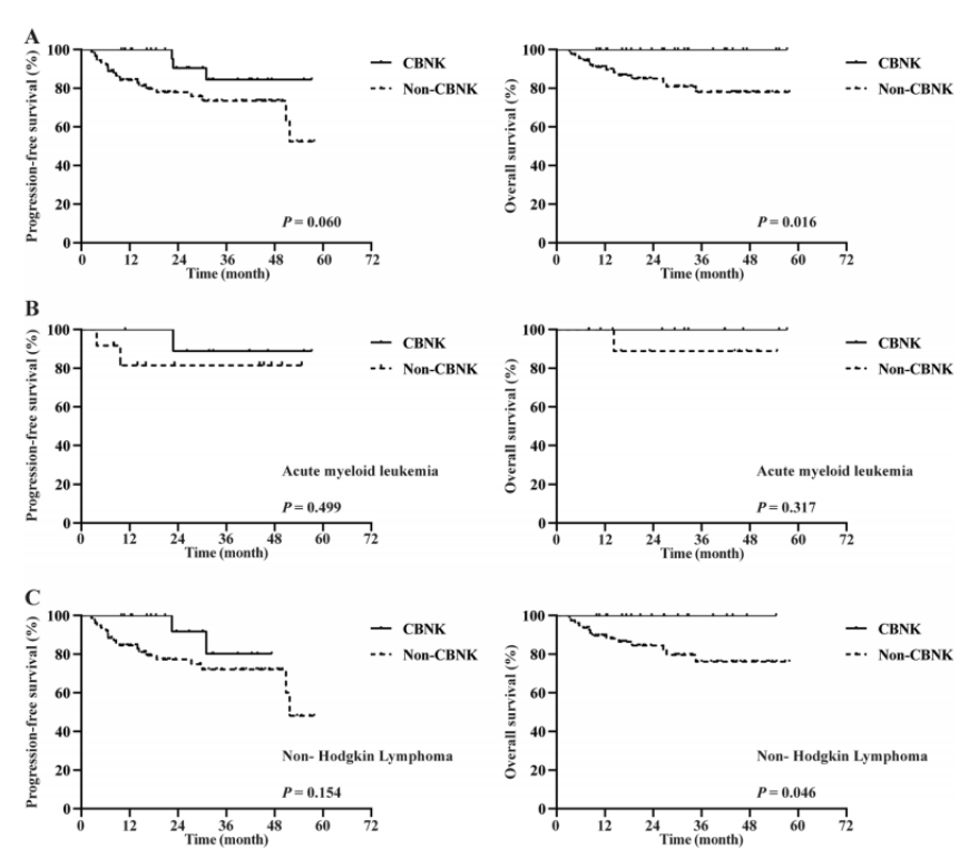
四川大学华西医院和四川省脐血库等研究者共同完成了一项前沿研究,探讨了脐血来源的天然杀伤细胞(NK细胞)作为自体造血干细胞移植后维持治疗的可能性和有效性[2]

(图5 发布于血液学年鉴的文章:脐血NK细胞用于字体造血高细胞移植后维持治疗的初步研究)

研究团队选择了31名急性髓系白血病和高风险淋巴瘤患者作为研究对象,还选择了90名没有接受NK细胞治疗的患者作为对照组。这些患者均接受了自体造血干细胞移植。研究团队采集了脐血来源的NK细胞,对这些脐血NK细胞进行了体外扩增培养,然后将其输注给患者,作为移植后的维持治疗。

经过一段时间的观察,研究者们发现,脐血NK细胞维持治疗组的复发率为9.7%,对照组的复发率为24.4%。脐血NK细胞治疗组的患者具有更好的无进展生存期(PFS)和总生存时间(OS),4 年无进展生存率和总生存率分别为 84.4% 和 100%,显著高于对照组的 73.5% 和 78.1%。

(图6 输注CBNK细胞与无输注患者的无进展生存期和总生存期对比)

结果表明,多次脐血NK细胞输注能够有效降低肿瘤复发率,提高患者生存率。同时,脐血NK细胞在降低急性髓系白血病和高危淋巴瘤患者自体造血干细胞移植后的复发率,并提高长期生存方面具有较高的临床应用潜力。

 

3. 肿瘤联合治疗:NK细胞联合单抗、化疗等治疗实体肿瘤。

(图7  研究文献:Pembrolizumab联合同种异体 NK 细胞治疗晚期非小细胞肺癌患者)

由广东省蛋白质组学重点实验室姜勇教授团队召开的这项研究发现PD-1抑制剂在临床治疗中对非小细胞肺癌具有活性,并且发现除了T细胞外,NK细胞不仅同样能够表达PD-L1蛋白,而且还具有延长晚期非小细胞肺癌患者生存期的潜力。

109名PD-L1阳性的晚期非小细胞肺癌患者随机分成两组,A组55名患者接受同种异体NK细胞输注联合Keytruda(派姆单抗,K药)治疗,B组54名患者单独给予K药治疗。

结果显示,A组患者的生存期比B组患者更长(中位总生存期[OS]:15.5个月 vs. 13.3个月;中位无进展生存期[PFS]:6.5个月 vs. 4.3个月;P < 0.05)。在TPS为50%或更高的A组患者中,中位OS和PFS明显更长。此外,接受多疗程NK细胞输注治疗的A组患者(18.5个月)比接受单疗程NK细胞输注的患者(13.5个月)具有更好的OS(18.5个月)[3]

 

 

4.血液肿瘤治疗:CD19阳性恶性肿瘤,包括:非霍奇金淋巴瘤、慢性淋巴细胞白血病、弥漫性大B细胞淋巴瘤等。

(图8 研究文献:恶性淋巴瘤或晚期实体瘤患者的随机健康供体异体杀伤细胞疗法I期研究)

研究人员早在2016年就将同种异体NK细胞用于恶性淋巴瘤的临床研究,体外扩增和高度活化的NK细胞(MG4101),在临床前研究中,该细胞在体外和体内显示出有效的抗癌活性。

研究结果显示,17例可评估患者中,8例(47.1%)病情稳定,9例(52.9%)病情进展[4]

 

5. 自身免疫疾病:与其它创新细胞治疗产品相比显著降低患者的经济负担并且即时可用。NK细胞天然的安全性优势,NK疗法有望在自身免疫性疾病领域脱颖而出。

自身免疫性疾病通常是由于失去自我耐受性(即免疫系统无法区分自我与非自我)而导致的,其特征是自身抗体的产生和 T 细胞的过度活化,从而导致特定或多个器官的损伤。系统性红斑狼疮(Systemic Lupus Erythematosus,SLE)是一种典型的全身系统性自身免疫性疾病,俗称“不死的癌症”,现在尚无法治愈。

2023年,美国 FDA 批准Artiva Biotherapeutics, Inc.其同种异体NK疗法 AlloNK ®的研究性新药 (IND) 申请(也称为 AB-101)与利妥昔单抗联合治疗活动性狼疮肾炎 (LN) 患者的系统性红斑狼疮 (SLE)。此次 IND 批准标志着同种异体、现成的NK或 CAR-T 细胞疗法首次用于治疗自身免疫性疾病。

(图9 同种异体NK疗法 AlloNK ®的研究性新药制备、使用)

 

6.神经系统疾病:用于治疗阿尔兹海默症、帕金森病的NK细胞疗法已经取得美国FDA的IND批准。

2024年4月29日,专注于开发和推广自体、异体和CAR-NK/NK细胞治疗的生物技术公司NKGen Biotech,宣布其用于治疗帕金森病的NK细胞疗法SNK01已经取得美国FDA的IND批准。

此前,SNK01在阿尔茨海默病患者的I期试验中已展现出持续效果,数据显示该疗法可能降低患者血液中的阿尔茨海默病标志物——Aβ42/40淀粉样蛋白,并能减轻神经炎症。

(图10 阿尔兹海默症 来源于网络)

 

8.改善亚健康:NK细胞会杀死被感染的细胞,清理老化、坏死的细胞,避免被感染的细胞成为病毒培养基地,阻止更多病毒的复制产生。NK细胞与人体其他150多种白细胞都不同,它不需要接受免疫系统的特殊指令,也不需要其他细胞的配合,自己单独就能识别和攻击外来细胞、癌细胞和病毒。

32 例亚健康患者经自体NK细胞治疗4周期及6个月后外周血 CD8 + 细胞较治疗前下降,CD3 + 、CD4 + 及 CD4 + /CD8 + 比值较治疗前均升高,差异有统计学意义。治疗4周期及6个月后疲劳程度较治疗前明显减轻。自体NK细胞免疫治疗可缓解亚健康人群的疲劳症状,并增强其细胞免疫功能,提高生活质量[5]

(图11 亚健康患者输注NK细胞前后端T淋巴细胞亚群变化比较)

 

深圳凯发K8——APUNK™

APUNK™(Allogeneic PB/UCB Natural Killer,同种异体外周血/脐血自然杀伤细胞)是由深圳凯发K8研发并推出的非改造同种异体NK细胞治疗产品系列。以凯发K8最新突破的NK细胞SDAP(Screening, Detection, Amplification, Purification)技术“APUNK”命名。

(图12 深圳凯发K8APUNK™)

APUNK™细胞产品可在体外培养增殖超过10000倍(无feeder细胞培养体系),能满足输注临床所需的细胞数。制备的NK细胞纯度大于99%,T细胞<1%,远高于美国FDA认定的同种异体移植标准(NK细胞>90%,T细胞<5%) [6][7]

APUNK™系列的PBNK细胞产品选用超级供体(Super Donor)外周血制备,超级供体具备良好的生活习惯、身体指标超乎普通人群,由他们的外周血制备出的PB-BK分离后含量高、扩增倍数高、杀伤效果好。此外,APUNK™细胞产品增殖能力强,培养至32天增殖达到15000-50000倍,并且在持续扩增中,NK细胞纯度始终大于99%。

 

深圳凯发K8APUNK™质控标准:

CD3-CD56+ ≥ 99%

CD3-CD56+CD16+ ≥ 80%

CD3-CD56+NKG2D+≥ 95%

(图12 深圳凯发K8NK细胞产品流式检测结果)

深圳凯发K8致力于为临床端给予高质量细胞产品,欢迎合作,造福患者!

 

参考文献:

[1] Yousefzadeh MJ, Flores RR, Zhu Y, et al.. An aged immune system drives senescence and ageing of solid organs. Nature. 2021 Jun;594(7861):100-105.

[2] Wu, Y., Wang, Y., Ji, J. et al. A pilot study of cord blood-derived natural killer cells as maintenance therapy after autologous hematopoietic stem cell transplantation. Ann Hematol 102, 3229–3237 (2023).

[3] Lin M, Luo H, Liang S, et al.  Pembrolizumab plus allogeneic NK cells in advanced non-small cell lung cancer patients. J Clin Invest. 2020 May 1;130(5):2560-2569.

[4] Yang Y, Lim O, Kim TM, et al. Phase I Study of Random Healthy Donor-Derived Allogeneic Natural Killer Cell Therapy in Patients with Malignant Lymphoma or Advanced Solid Tumors. Cancer Immunol Res. 2016 Mar;4(3):215-24.

[5] Biochem Biophys Rep. 2022 Nov 11;32:101380.

[6] Phase I study of cord blood-derived natural killer cells combined with autologous stem cell transplantation in multiple myeloma. Br J Haematol. 2017 May;177(3):457-466.

[7] Pembrolizumab plus allogeneic NK cells in advanced non-small cell lung cancer patients. J Clin Invest. 2020 May 1;130(5):2560-2569. 

 

免责声明:深圳凯发K8致力于研究细胞与基因疗法,为有助于新兴技术,让更多人分析生物医药新开展。本文内容仅作信息研讨使用,本平台对文中内容、陈述、观点判断保持中立,不代表深圳凯发K8立场和观点。本文相关信息不得用作诊断或治疗,不能代替专业医学意见,本公众平台将不承担任何责任。以上声明内容的最终解释权归本公众平台所有,本声明将适用本平台所有时间分享的文章,谢谢合作!

版权说明:文章版权归深圳凯发K8所有,欢迎个人转发至朋友圈,媒体或组织在未经授权下,以任何形式转载到其他平台,将视为侵权。转载授权请在「深圳凯发K8」微信公众号回复“转载”,获取转载须知。

 

往期推荐  //

 

知识科普 | 靶向BCMA的CAR-T研究进展

知识科普 | 临床应用CAR-T等细胞产品后的不良风险有效控制(下)

知识科普 | 临床应用CAR-T等细胞产品后的不良风险有效控制(上)

关于深圳凯发K8

深圳凯发K8生物医药有限公司(下称:深圳凯发K8)是国内唯一一家可给予工业级逆转录病毒载体的细胞与基因治疗一站式解决方案服务商,由来自美国哈佛大学和加州大学圣迭戈分校等海归科学家联合创办,拥有国内首批掌握工业级逆转录病毒载体技术(PackRV-SS系统)的研发生产团队。深圳凯发K8已建成规范化,标准化,工业化生产GMP级逆转录病毒载体CAR-T等细胞产品管线,已在深圳、北京和中山三地建立产业联动,建成共计超万平符合国际GMP标准的生产车间及研发实验室。深圳凯发K8病毒载体管线,到细胞产品管线,再到IIT/IND/NDA辅助申报,再到行业内人才培养已建立成熟的全流程、一站式委托服务,建有逆转录病毒、慢病毒等多种病毒载体生产管线及CAR-T、CAR-NK、TCR-T等细胞生产管线。同时与审评检验组织、科研院所、医院和行业龙头企业深度合作,给予IIT、IND辅助申报服务。

深圳凯发K8是深圳市生物医药产业重大公共服务平台、深圳市重大项目、深圳市高新区开展专项计划创新平台成果产业化基地、“聚龙领军人才”D类高成长性企业、细胞产业关键共性技术国家工程研究中心病毒载体共性技术研究平台、中国食品药品企业质量安全促进会副会长单位、深圳市医学研究专项资金依托单位、深圳市生物医药产教联盟副理事长单位、全国生物技术行业产教融合共同体常务理事单位、深圳市生物医药促进会理事单位、2022年度坪山区“十大创新平台”、科技型中小企业、创新型中小企业、深圳市坪山区大学生实习基地,荣获2024年度亚太区细胞与基因治疗行业之星“最佳技术突破奖”、第十二届中国创新创业大赛优秀企业奖、中国创交会创新创业大赛三等奖、CGT领域CDMO合作启明星奖。

左右滑动可浏览更多图片

END

 

微信公众号

市场部:孙女士

细胞惠众生 基因创未来

 分析更多内容请登录  

www.jdxinyu.com

全国统一服务热线

400-800-1266

 

微信公众号
扫一扫,关注我们最新消息扫一扫,关注我们最新消息
联系我们
400-800-1266

工作时间:周一至周五 9:00-18:00

联系人:赖女士

手机:13670105633

邮件:laijiaqi@jdxinyu.com

地址:深圳市坪山区坑梓街道金沙社区荣田路1号海普瑞生物医药生态园

底部导航
深圳凯发K8生物医药有限公司是中国一家专注于细胞和基因治疗产业领域的一站式综合外包服务商,也是国内首批具备临床级逆病毒载体GMP工业化生产的CRO/CDMO公司。 深圳凯发K8是深圳市重大CRO/CDMO公共技术服务平台建设项目,也是深圳市最新公布的20+8战略性新兴产业项目。深圳凯发K8具有规范化,标准化,工业化生产GMP级CAR-T等细胞产品的能力,主要建有CAR-T、CAR-NK、CAR-M、γδT、TIL、TCR-T等细胞产品生产线,逆病毒、慢病毒、非病毒载体、AAV等多种病毒载体以及外泌体、基因工程抗体、细胞因子、溶瘤病毒、疫苗等药品生产的细胞原料产品生产线。
深圳凯发K8生物医药有限公司 版权所有 粤ICP备2024168379号 互联网药品信息服务资格证书:(粤)-非经营性-2022-0426  技术支持:友点软件